Den här texten är framtagen för Skoopi Halland och våra medlemsföretag.
Vi är en brokig och kreativ samling människor. Många av oss har erfarenhet av att skolan inte alltid var lätt. Flera har också olika svårigheter med läsning och skrivande.
Därför vill vi förklara vad LIX och OVIX är på ett enkelt sätt. Det är två verktyg som kan hjälpa oss att förstå hur texter fungerar. Med hjälp av dem kan vi se om en text är lätt eller svår att läsa, och om språket känns varierat eller upprepande.
Målet är inte att räkna fram “rätt” siffror. Det viktiga är att vi får ett stöd när vi skriver texter till olika målgrupper – så att fler kan ta del av vårt arbete och förstå vad vi vill säga.Vad är LIX?
LIX står för läsbarhetsindex. Det är ett mått på hur lätt eller svår en text är att läsa, baserat på hur långa meningar är och hur många ord som är “långa” (över sex bokstäver).
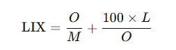
Formeln för LIX är:

där
- O = totala antalet ord
- M = antalet meningar
- L = antalet långa ord (> 6 bokstäver)
Därtill används ofta följande skala för att tolka LIX-värdet:
- < 25 → mycket lättläst (t.ex. barnböcker)
- 25–30 → lättläst
- 30–40 → normal text / skönlitteratur
- 40–50 → medelsvår text / sakprosa
- 50–60 → svår text
- 60 → mycket svår / byråkratisk text
Historia och bakgrund
LIX utvecklades under 1960-talet av den svenske pedagogen Carl-Hugo Björnsson som en metod att mäta läsbarhet hos texter som användes i skolan.
Björnsson insåg att vissa texter var allt för svåra för elever, och han ville ha ett enkelt verktyg för att skatta hur “krävande” en text var, med tanke på menings- och ordstruktur.
Sedan dess har LIX blivit det mest använda läsbarhetsmåttet i svenska sammanhang när man vill ha en kvantitativ indikation på hur komplex en text är.
När, hur och varför använda LIX?
När:
- När du vill kontrollera hur krävande en text är för läsarna (t.ex. rapporter, webbinnehåll, informationsmaterial).
- När du jämför två versioner av en text för att se vilken som är “lättare”.
- Som en del i verktyg för tillgänglighet och språkvård, särskilt för myndighetstexter, skoltexter eller kommunikation mot bred publik.
Hur:
- Räkna orden, meningarna och antalet långa ord enligt definitionerna.
- Använd formeln ovan.
- Jämför värdet med tolkningsskalan.
- Kombinera med kvalitativ bedömning (texternas innehåll, svåra ämnen, målgruppens förkunskaper).
Varför:
- För att göra texter mer begripliga för målgruppen.
- För att sänka tröskeln för läsare med varierad språklig bakgrund eller svagare läsförmåga.
- För att undvika att texten blir “byråkratisk” i innehåll eller form.
- Som objektiv indikator (men inte absolut sanning) när man vill förbättra textens klarhet.
Men: LIX är inte perfekt. Det tar inte hänsyn till hur väl texten är strukturerad, hur bekant ämnet är, hur bra rubriker/rimlig uppbyggnad är eller hur flyt och kontext fungerar.
Vissa språkvetare menar att LIX är “goda pekare” snarare än definitiva mått på begriplighet.
Vad är OVIX?
OVIX står för ordvariationsindex. Det mäter hur varierat ordvalet i en text är, genom att relatera antalet unika ord till det totala antalet ord.
En formel som brukar användas är:

där
- n(w) = totala antalet ord
- n(uw) = antalet unika ord
Varför OVIX?
OVIX kompletterar LIX genom att fånga språklig rikedom eller repetitivitet:
- En text med lågt OVIX använder många samma ord om och om igen → kan kännas enformig.
- En text med väldigt högt OVIX kan vara “för rik” och svår att följa, särskilt för läsare som inte är vana med språket.
- OVIX hjälper att se om texten använder alltför många upprepningar, eller om ordvalet är alltför enhetligt.
I forskning har man sett OVIX användas i språkundervisning och textanalys, till exempel i analyser av läromedelstexter för svenska och svenska som andraspråk.
Men även OVIX har sina begränsningar: det fångar inte hur väl orden passar ihop, hur begriplig satsstruktur är, eller hur effektivt textbindningen fungerar.
Varför hålla koll på LIX och OVIX när man kommunicerar med målgrupper?
Att mäta och styra LIX och OVIX kan ha flera värdefulla effekter när man vill nå ut med budskap:
Anpassning till målgruppen
- Om din målgrupp är allmänheten, personer med varierad språkbakgrund eller med begränsad läsvana, vill du ofta ha relativt lågt LIX (t.ex. 30–40) – inte “byråkratisk högnivåtext”.
- OVIX hjälper dig se om du använder för många upprepningar eller om du använder många ovanliga ord. En balanserad variation gör texten levande utan att bli obegriplig.
Högre tillgänglighet och inkludering
- Ju mer lättläst och språkligt tillgänglig en text är, desto fler kan ta till sig budskapet – även de som har svenska som andraspråk eller lässvårigheter.
- Det stärker demokratin och transparens, särskilt i offentlig kommunikation och informationstexter.
Kvalitetssäkring och kontinuerlig förbättring
- Du kan jämföra versioner (före/efter omskrivning) och se konkret vilka förbättringar som gjorts.
- I en organisation kan man sätta mål för LIX/OVIX-nivåer för olika typer av texter (t.ex. nyheter, pressmeddelanden, broschyrer) för att säkerställa läsbar kvalitet.
Trovärdighet och användarupplevelse
- En text som är svårtillgänglig riskerar att tappa läsare eller att budskapet inte når fram.
- En välformulerad, lagom komplex text ger ett bättre intryck och stärker kommunikationen.